为纪念五四运动100周年,弘扬五四精神,4月23日晚,纪念五四运动100周年“青春心向党·建功新时代”师生大合唱比赛在枫林校区音乐厅隆重举行。校党委委员、副校长朱笃、李玉保、邓弘、刘建飞,校党委委员、纪委书记黄赣华,校党委委员、党委宣传部部长曾传晖,学生工作部(处)部(处)长刘飚、工会副主席金春出席比赛并为获奖队伍颁奖,各学院党委负责人及全校2000余名师生参加、观摩了比赛。比赛由国家一级作曲、江西文化名家、江西省音乐家协会主席葛平波,江西省音乐家协会副主席、驻会副秘书长潘庆蓓,中国声乐家协会常务理事、我校音乐学院院长李广贞担任评委。

经管学院合唱队刻苦训练,勇于拼博,凭借《春天的故事》夺得全校三等奖。

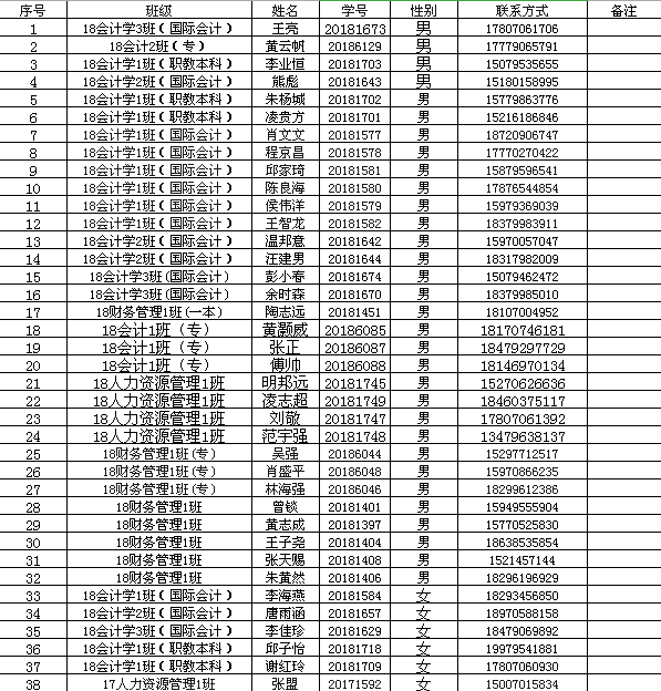
为了表彰先进,鼓舞士气,学院决定对参与大合唱赛的学生进行表彰,参加校大合唱比赛和节目表演的学生在综合测评中的文化艺术素养分+10分,第二课堂学分加0.5分。
各班级必须以公布的名单为依据进行加分。
附:大合唱比赛学生名单



参与校大合唱表演的学生名单
