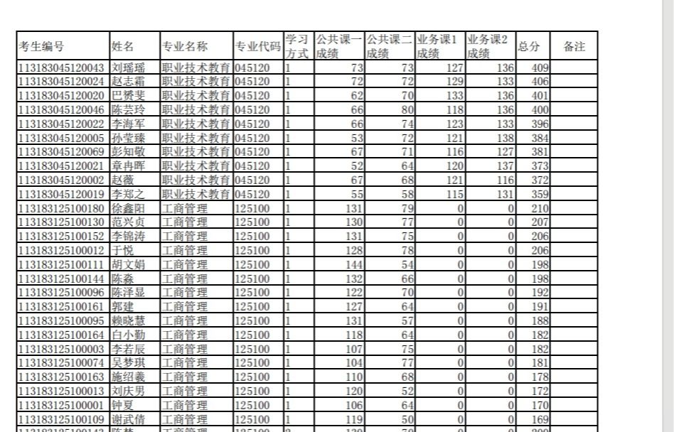
拟录取(工商管理全日制).xlsx
经济管理学院2023 年硕士研究生招生复试(一志愿)名单.pdf
经济管理学院2023 年硕士研究生复试录取实施细则.pdf
为把学雷锋活动与社区实践有机结合,培养大学生的劳动能力,增加大学生社会体验,提高社会责任感,引导和鼓励学生在社会实践...
为了增强同学们的政治意识与思想素质,在促进经济管理学院精神文明建设的同时,树立良好的人生观、价值观,正确认识个人、集...
为深入学习宣传党的二十大精神,贯彻落实习近平总书记关于青年工作的重要思想,让经管青年们更好地了解国情、感知社会、热爱...
为贯彻落实党的二十大精神,进一步弘扬“奉献、友爱、互助、进步”的志愿者精神,展现新时代青年担当有为的精神风貌,2023年1...
全学院师生: 按照校党委组织部规定,依据学院党委《关于开展2023年上半年学生入党发展对象的工作通知》的要求,经济管理学院...
为加强经济管理学院党员党性修养,加强学生的思想政治教育实效,深入学习贯彻党的二十大精神,积极引导我院学生党员认识党的...